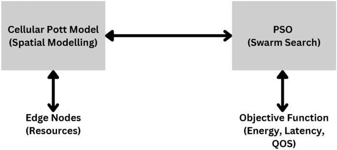
The need to compute data in real-time and manage resources in environments with distributed computing has given edge computing significant …
http://dlvr.it/TJ6BTn

Written in
by
The need to compute data in real-time and manage resources in environments with distributed computing has given edge computing significant …
http://dlvr.it/TJ6BTn
Tags
Leave a comment